Home Browse Text SearchFunctional Group SearchStructure SearchPreferences Administration

selected data collection: 1

IRIS SDF: browse content


1
  <<    <    >    >>  

1:592913 C81H149F4N3O38
hit structure
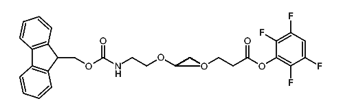
1:592914 C140H246N12O64
hit structure
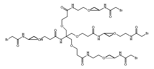
1:592915 C120H230Br4N8O56
hit structure
1:592916 C53H108N2O25
hit structure
1:592917 C26H45NO15
hit structure
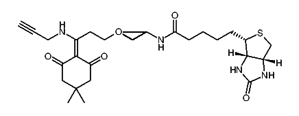
1:592918 C58H109NO31
hit structure
1:592919 C67H117F4N3O28S
hit structure
1:592920 C31H44F4N4O9S
hit structure
1:592921 C47H76F4N4O17S
hit structure
1:592922 C32H33F4NO8
hit structure
1:592923 C40H49F4NO12
hit structure
1:592924 C48H65F4NO16
hit structure
1:592925 C72H113F4NO28
hit structure
1:592926 C96H161F4NO40
hit structure
1:592927 C18H35NO8
hit structure
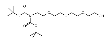
1:592928 C13H28N2O5
hit structure
1:592929 C15H32N2O6
hit structure
1:592930 C72H132N2O34S2
hit structure
1:592931 C9H20N2O3
hit structure
1:592932 C6H13NO4
hit structure
1:592933 C6H10KN3O4
hit structure
1:592934 C32H53N7O8S
hit structure
1:592935 C38H57N9O9S
hit structure
1:592936 C32H50N4O8S
hit structure
1:592937 C27H49N7O7S
hit structure

1
  <<    <    >    >>  

entries in data collection: 594050