Home Browse Text SearchFunctional Group SearchStructure SearchPreferences Administration

selected data collection: 1

IRIS SDF: browse content


1
  <<    <    >    >>  

1:592813 C32H34N2O5S
hit structure
1:592814 C32H34N2O5S
hit structure
1:592815 C32H34N2O5S
hit structure
1:592816 C32H34N2O5S
hit structure
1:592817 C25H45N3O10S
hit structure
1:592818 C30H36O6S
hit structure
1:592819 C12H25N3O6
hit structure
1:592820 C27H32O4S
hit structure
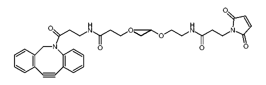
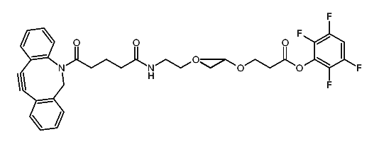
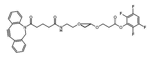
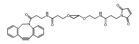
1:592821 C37H38F4N2O8
hit structure
1:592822 C53H70F4N2O16
hit structure
1:592823 C77H118F4N2O28
hit structure
1:592824 C101H166F4N2O40
hit structure
1:592825 C52H74N4O17
hit structure
1:592826 C76H122N4O29
hit structure
1:592827 C31H38BrN3O7
hit structure
1:592828 C25H37N7O6S
hit structure
1:592829 C47H70BrN3O15
hit structure
1:592830 C23H38N4O6S
hit structure
1:592831 C71H118BrN3O27
hit structure
1:592832 C11H17NO5
hit structure
1:592833 C55H83N5O16S
hit structure
1:592834 C33H45N3O12
hit structure
1:592835 C66H79N3O20
hit structure
1:592836 C13H28N2O5
hit structure
1:592837 C75H141N2O26P
hit structure

1
  <<    <    >    >>  

entries in data collection: 594050