Home Browse Text SearchFunctional Group SearchStructure SearchPreferences Administration

selected data collection: 1

IRIS SDF: browse content


1
  <<    <    >    >>  

1:592688 C61H117N3O28S
hit structure
1:592689 C112H218N4O53S
hit structure
1:592690 C26H50N4O9S
hit structure
1:592691 C34H66N4O13S
hit structure
1:592692 C58H114N4O25S
hit structure
1:592693 C65H119N5O28S
hit structure
1:592694 C26H48N6O9S
hit structure
1:592695 C34H64N6O13S
hit structure
1:592696 C58H112N6O25S
hit structure
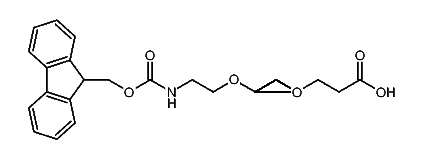
1:592697 C24H29NO7
hit structure
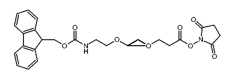
1:592698 C28H37NO9
hit structure
1:592699 C90H161NO40
hit structure
1:592700 C30H36N2O10
hit structure
1:592701 C38H52N2O14
hit structure
1:592702 C46H68N2O18
hit structure
1:592703 C42H59N5O11S
hit structure
1:592704 C58H91N5O19S
hit structure
1:592705 C56H111NO28
hit structure
1:592706 C80H159NO40
hit structure
1:592707 C83H157NO40
hit structure
1:592708 C47H70O15S
hit structure
1:592709 C39H60N2O19
hit structure
1:592710 C26H29NO4
hit structure
1:592711 C29H60N2O14
hit structure
1:592712 C34H66N4O14S
hit structure

1
  <<    <    >    >>  

entries in data collection: 594050