Home Browse Text SearchFunctional Group SearchStructure SearchPreferences Administration

selected data collection: 1

IRIS SDF: browse content


1
  <<    <    >    >>  

1:592438 C6H15NO2S
hit structure
1:592439 C6H15NO2S
hit structure
1:592440 C6H15NO2S
hit structure
1:592441 C34H38N2O7S
hit structure
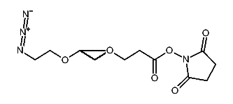
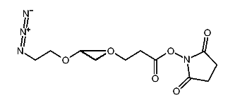
1:592442 C7H15N3O3
hit structure
1:592443 C15H31NO8
hit structure
1:592444 C19H39NO8
hit structure
1:592445 C24H51NO12
hit structure
1:592446 C45H69NO14
hit structure
1:592447 C8H19NO4
hit structure
1:592448 C16H33N3O7
hit structure
1:592449 C16H35NO8
hit structure
1:592450 C27H55NO14
hit structure
1:592451 C31H63NO14
hit structure
1:592452 C51H103NO26
hit structure
1:592453 C55H111NO26
hit structure
1:592454 C11H23NO4
hit structure
1:592455 C11H23NO6
hit structure
1:592456 C15H31NO6
hit structure
1:592457 C19H39NO10
hit structure
1:592458 C23H47NO10
hit structure
1:592459 C24H49N3O12
hit structure
1:592460 C31H56N4O16
hit structure
1:592461 C15H24N4O8
hit structure
1:592462 C23H40N4O12
hit structure

1
  <<    <    >    >>  

entries in data collection: 599680