Home Browse Text SearchFunctional Group SearchStructure SearchPreferences Administration

selected data collection: 1

IRIS SDF: browse content


1
  <<    <    >    >>  

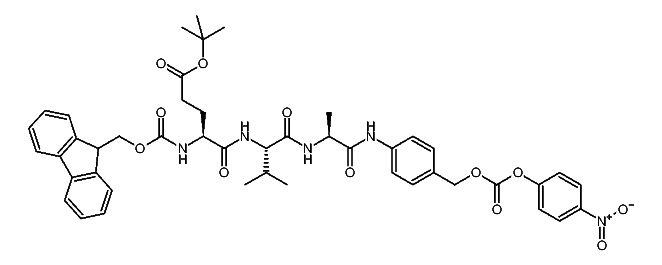
1:588594 C46H51N5O12
hit structure
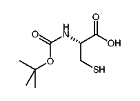
1:588595 C19H27N3O5
hit structure
1:588596 C22H33N5O6
hit structure
1:588597 C12H14N2O
hit structure
1:588598 C9H18N2O2
hit structure
1:588599 C15H14N2O2
hit structure
1:588600 C11H26N2O4
hit structure
1:588601 C8H15NO4S
hit structure
1:588602 C27H29NO4S
hit structure
1:588603 C13H22N2O6
hit structure
1:588604 C24H28N2O6
hit structure
1:588605 C9H18N2O4
hit structure
1:588606 C23H26N2O6
hit structure
1:588607 C23H26N2O6
hit structure
1:588608 C10H18N2O5
hit structure
1:588609 C13H21NO6
hit structure
1:588610 C17H23NO6
hit structure
1:588611 C16H31NO4
hit structure
1:588612 C17H33NO4
hit structure
1:588613 C12H15NO4
hit structure
1:588614 C12H15NO4
hit structure
1:588615 C12H15NO4
hit structure
1:588616 C13H17NO4
hit structure
1:588617 C13H23NO4
hit structure
1:588618 C11H21NO4
hit structure

1
  <<    <    >    >>  

entries in data collection: 599680