Home Browse Text SearchFunctional Group SearchStructure SearchPreferences Administration

selected data collection: 1

IRIS SDF: browse content


1
  <<    <    >    >>  

1:587824 C12H22N4O6
hit structure
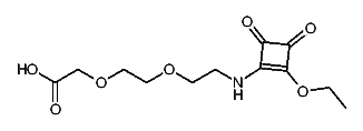
1:587825 C15H20N2O5S
hit structure
1:587826 C16H12N2O6
hit structure
1:587827 C7H12N4O3
hit structure
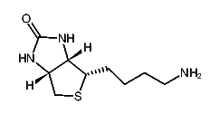
1:587828 C8H14N4O3
hit structure
1:587829 C12H22N4O7
hit structure
1:587830 C23H28N4O5
hit structure
1:587831 C23H30N2O5
hit structure
1:587832 C27H34N2O8
hit structure
1:587833 C27H34N2O9
hit structure
1:587834 C14H22N4O6
hit structure
1:587835 C12H17NO7
hit structure
1:587836 C8H15N3O2
hit structure
1:587837 C12H22F6N6OP2
hit structure
1:587838 C12H17NO5Si
hit structure
1:587839 C5H6N2O
hit structure
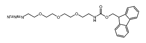
1:587840 C24H37N5O3S3
hit structure
1:587841 C20H29N5O5S
hit structure
1:587842 C23H33N5O7S
hit structure
1:587843 C22H34N4O5S
hit structure
1:587844 C9H17N3OS
hit structure
1:587845 C20H17Cl
hit structure
1:587846 C6H7ClIN
hit structure
1:587847 C8H9NO2
hit structure
1:587848 C22H20O2S
hit structure

1
  <<    <    >    >>  

entries in data collection: 594050