Home Browse Text SearchFunctional Group SearchStructure SearchPreferences Administration

selected data collection: 1

IRIS SDF: browse content


1
  <<    <    >    >>  

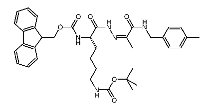
1:587391 C51H46N6O4
hit structure
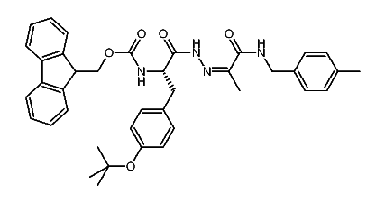
1:587392 C33H38N4O4
hit structure
1:587393 C32H36N4O4
hit structure
1:587394 C37H45N5O6
hit structure
1:587395 C31H34N4O4S
hit structure
1:587396 C35H34N4O4
hit structure
1:587397 C31H32N4O4
hit structure
1:587398 C33H38N4O5
hit structure
1:587399 C34H40N4O5
hit structure
1:587400 C42H43N5O6
hit structure
1:587401 C39H42N4O5
hit structure
1:587402 C31H34N4O4
hit structure
1:587403 C23H22ClNO2
hit structure
1:587404 C23H22ClNO2
hit structure
1:587405 C23H22ClNO2
hit structure
1:587406 C39H45ClN4O5S
hit structure
1:587407 C39H45ClN4O5S
hit structure
1:587408 C39H45ClN4O5S
hit structure
1:587409 C37H30ClNO4
hit structure
1:587410 C22H20ClNO2
hit structure
1:587411 C22H20ClNO2
hit structure
1:587412 C24H23ClN2O3
hit structure
1:587413 C24H23ClN2O3
hit structure
1:587414 C43H37ClN2O3
hit structure
1:587415 C43H37ClN2O3
hit structure

1
  <<    <    >    >>  

entries in data collection: 588420