Home Browse Text SearchFunctional Group SearchStructure SearchPreferences Administration

selected data collection: 1

IRIS SDF: browse content


1
  <<    <    >    >>  

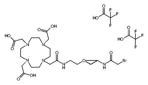
1:587230 C30H49BrF6N6O15
hit structure
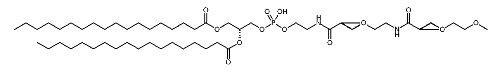
1:587231 C118H233N2O46P
hit structure
1:587232 C42H79BrN6O19
hit structure
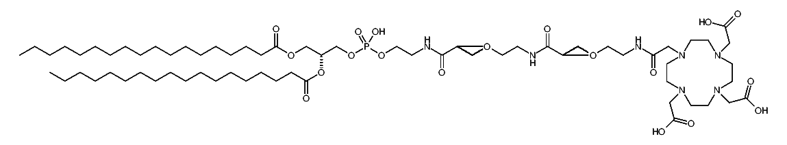
1:587233 C144H285N2O59P
hit structure
1:587234 C109H205F4NO52
hit structure
1:587235 C25H28O3S
hit structure
1:587236 C103H205NO52
hit structure
1:587237 C78H151BrN6O31
hit structure
1:587238 C117H214N2O53
hit structure
1:587239 C110H210N2O53
hit structure
1:587240 C102H204N2O51
hit structure
1:587241 C28H54Br2N2O13
hit structure
1:587242 C193H296N12O60
hit structure
1:587243 C64H82N4O15
hit structure
1:587244 C93H184NO34P
hit structure
1:587245 C163H299N4O60P
hit structure
1:587246 C159H310N7O65P
hit structure
1:587247 C165H298N3O64P
hit structure
1:587248 C164H319N6O65PS
hit structure
1:587249 C201H390N5O86P
hit structure
1:587250 C237H460N12O112
hit structure
1:587251 C141H256N12O64
hit structure
1:587252 C10H19BrN4O4
hit structure
1:587253 C26H51BrN4O12
hit structure
1:587254 C50H99BrN4O24
hit structure

1
  <<    <    >    >>  

entries in data collection: 588420