Home Browse Text SearchFunctional Group SearchStructure SearchPreferences Administration

selected data collection: 1

IRIS SDF: browse content


1
  <<    <    >    >>  

1:583956 C15H21NO4
hit structure
1:583957 C11H17NO
hit structure
1:583958 C15H21NO4
hit structure
1:583959 C11H17NO
hit structure
1:583960 C11H15BrO
hit structure
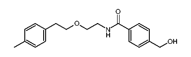
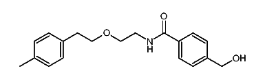
1:583961 C17H25NO3
hit structure
1:583962 C18H30O5
hit structure
1:583963 C19H22O4
hit structure
1:583964 C18H20O3
hit structure
1:583965 C19H23NO3
hit structure
1:583966 C43H44N2O7
hit structure
1:583967 C16H22O4
hit structure
1:583968 C11H16OS
hit structure
1:583969 C31H31NO3
hit structure
1:583970 C18H22O3
hit structure
1:583971 C11H15BrO
hit structure
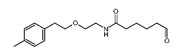
1:583972 C17H25NO3
hit structure
1:583973 C18H30O5
hit structure
1:583974 C19H22O4
hit structure
1:583975 C18H20O3
hit structure
1:583976 C19H23NO3
hit structure
1:583977 C43H44N2O7
hit structure
1:583978 C16H22O4
hit structure
1:583979 C11H16OS
hit structure
1:583980 C31H31NO3
hit structure

1
  <<    <    >    >>  

entries in data collection: 605310