Home Browse Text SearchFunctional Group SearchStructure SearchPreferences Administration

selected data collection: 1

IRIS SDF: browse content


1
  <<    <    >    >>  

1:583531 C23H44N2O5
hit structure
1:583532 C10H17NO4
hit structure
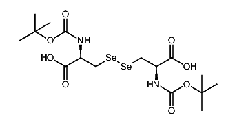
1:583533 C16H28N2O8Se2
hit structure
1:583534 C25H28N2O6
hit structure
1:583535 C13H25NO4
hit structure
1:583536 C11H21NO5
hit structure
1:583537 C12H17NO5
hit structure
1:583538 C12H17NO5
hit structure
1:583539 C13H23NO4
hit structure
1:583540 C16H23NO5Se
hit structure
1:583541 C16H20F3NO4
hit structure
1:583542 C13H25NO4
hit structure
1:583543 C18H35NO4
hit structure
1:583544 C21H41NO4
hit structure
1:583545 C23H45NO4
hit structure
1:583546 C18H34N2O5
hit structure
1:583547 C18H24N2O6
hit structure
1:583548 C18H22N2O6
hit structure
1:583549 C17H25NO5
hit structure
1:583550 C17H25NO5
hit structure
1:583551 C16H21NO6
hit structure
1:583552 C15H18F3NO5
hit structure
1:583553 C15H18F3NO4
hit structure
1:583554 C17H25NO4
hit structure
1:583555 C14H17Cl2NO4
hit structure

1
  <<    <    >    >>  

entries in data collection: 599680