Home Browse Text SearchFunctional Group SearchStructure SearchPreferences Administration

selected data collection: 1

IRIS SDF: browse content


1
  <<    <    >    >>  

1:582956 C37H39N7O11
hit structure
1:582957 C32H39N5O8
hit structure
1:582958 C39H42N6O12
hit structure
1:582959 C13H14O5
hit structure
1:582960 C20H17NO9
hit structure
1:582961 C42H54N6O9
hit structure
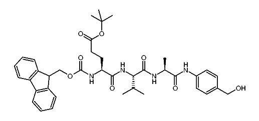
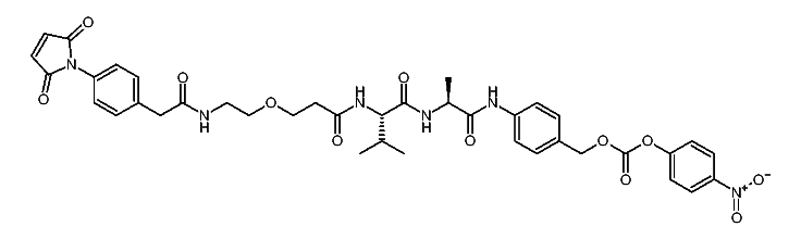
1:582962 C49H57N7O13
hit structure
1:582963 C39H48N4O8
hit structure
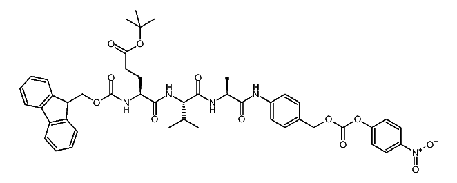
1:582964 C46H51N5O12
hit structure
1:582965 C19H27N3O5
hit structure
1:582966 C22H33N5O6
hit structure
1:582967 C12H14N2O
hit structure
1:582968 C9H18N2O2
hit structure
1:582969 C15H14N2O2
hit structure
1:582970 C11H26N2O4
hit structure
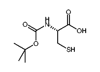
1:582971 C8H15NO4S
hit structure
1:582972 C27H29NO4S
hit structure
1:582973 C13H22N2O6
hit structure
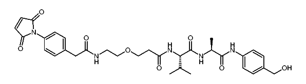
1:582974 C24H28N2O6
hit structure
1:582975 C9H18N2O4
hit structure
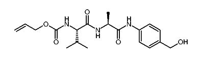
1:582976 C23H26N2O6
hit structure
1:582977 C23H26N2O6
hit structure
1:582978 C10H18N2O5
hit structure
1:582979 C13H21NO6
hit structure
1:582980 C17H23NO6
hit structure

1
  <<    <    >    >>  

entries in data collection: 588420