Home Browse Text SearchFunctional Group SearchStructure SearchPreferences Administration

selected data collection: 1

IRIS SDF: browse content


1
  <<    <    >    >>  

1:582906 C24H38N8O5
hit structure
1:582907 C31H41N9O9
hit structure
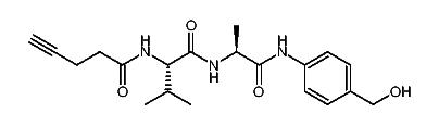
1:582908 C23H33N5O5
hit structure
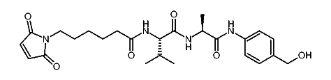
1:582909 C30H36N6O9
hit structure
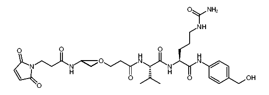
1:582910 C29H48N8O9
hit structure
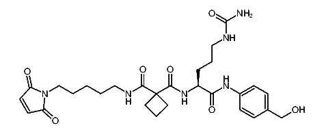
1:582911 C36H51N9O13
hit structure
1:582912 C32H51N5O10
hit structure
1:582913 C39H54N6O14
hit structure
1:582914 C36H55N7O12
hit structure
1:582915 C43H58N8O16
hit structure
1:582916 C43H57N7O9
hit structure
1:582917 C25H34N4O6
hit structure
1:582918 C32H37N5O10
hit structure
1:582919 C21H32N6O4
hit structure
1:582920 C28H35N7O8
hit structure
1:582921 C20H27N3O4
hit structure
1:582922 C27H30N4O8
hit structure
1:582923 C26H42N6O8
hit structure
1:582924 C33H45N7O12
hit structure
1:582925 C29H45N3O9
hit structure
1:582926 C36H48N4O13
hit structure
1:582927 C33H49N5O11
hit structure
1:582928 C40H52N6O15
hit structure
1:582929 C40H51N5O8
hit structure
1:582930 C28H38N6O7
hit structure

1
  <<    <    >    >>  

entries in data collection: 588420