Home Browse Text SearchFunctional Group SearchStructure SearchPreferences Administration

selected data collection: 1

IRIS SDF: browse content


1
  <<    <    >    >>  

1:579867 C23H26N2O5
hit structure
1:579868 C26H30N2O5
hit structure
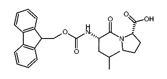
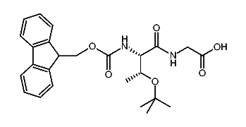
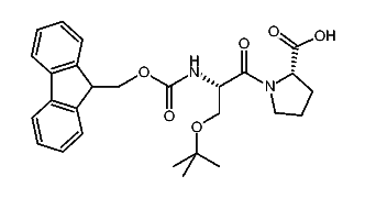
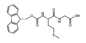
1:579869 C31H39N3O7
hit structure
1:579870 C26H24N2O5
hit structure
1:579871 C29H28N2O5
hit structure
1:579872 C22H22N2O5
hit structure
1:579873 C25H26N2O5
hit structure
1:579874 C24H28N2O6
hit structure
1:579875 C27H32N2O6
hit structure
1:579876 C25H30N2O6
hit structure
1:579877 C31H29N3O5
hit structure
1:579878 C22H24N2O5
hit structure
1:579879 C25H28N2O5
hit structure
1:579880 C35H40N2O9
hit structure
1:579881 C35H28N2O7
hit structure
1:579882 C36H43N5O8S
hit structure
1:579883 C28H35N3O7
hit structure
1:579884 C22H24N2O5S
hit structure
1:579885 C27H29N3O7
hit structure
1:579886 C31H34N2O7
hit structure
1:579887 C26H35N5O5
hit structure
1:579888 C32H36N2O7
hit structure
1:579889 C29H30N2O7
hit structure
1:579890 C34H38N2O9
hit structure
1:579891 C28H28N2O7
hit structure

1
  <<    <    >    >>  

entries in data collection: 582790