Home Browse Text SearchFunctional Group SearchStructure SearchPreferences Administration

selected data collection: 1

IRIS SDF: browse content


1
  <<    <    >    >>  

1:578612 C22H25NO5
hit structure
1:578613 C25H21NO4
hit structure
1:578614 C31H30N2O6
hit structure
1:578615 C27H25NO5
hit structure
1:578616 C28H29NO5
hit structure
1:578617 C20H21NO4
hit structure
1:578618 C19H19NO4
hit structure
1:578619 C21H21NO4
hit structure
1:578620 C19H19NO4
hit structure
1:578621 C28H23NO4
hit structure
1:578622 C26H25NO5
hit structure
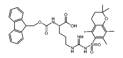
1:578623 C35H42N4O7S
hit structure
1:578624 C22H21NO6
hit structure
1:578625 C22H21NO6
hit structure
1:578626 C23H25NO6
hit structure
1:578627 C24H27NO4
hit structure
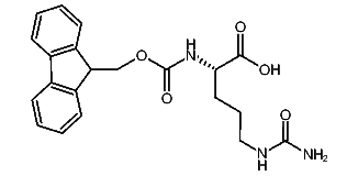
1:578628 C21H23N3O5
hit structure
1:578629 C23H25NO4
hit structure
1:578630 C22H23NO4
hit structure
1:578631 C18H17NO4S
hit structure
1:578632 C23H24N2O6
hit structure
1:578633 C24H28N2O6
hit structure
1:578634 C29H32N2O6
hit structure
1:578635 C22H22N2O6
hit structure
1:578636 C23H26N2O6
hit structure

1
  <<    <    >    >>  

entries in data collection: 588420