Home Browse Text SearchFunctional Group SearchStructure SearchPreferences Administration

selected data collection: 1

IRIS SDF: browse content


1
  <<    <    >    >>  

1:578171 C11H24N2O4
hit structure
1:578172 C7H16N2O2
hit structure
1:578173 C14H22N2O2
hit structure
1:578174 C23H26BrN2O2P
hit structure
1:578175 C9H18N2O2
hit structure
1:578176 C9H18N2O2
hit structure
1:578177 C11H22N2O2
hit structure
1:578178 C15H32N2O5
hit structure
1:578179 C13H26N2O2
hit structure
1:578180 C9H20N2O2
hit structure
1:578181 C10H22N2O2
hit structure
1:578182 C13H26N2O2
hit structure
1:578183 C8H18N2O2
hit structure
1:578184 C9H20N2O2
hit structure
1:578185 C11H22N2O2
hit structure
1:578186 C9H20N2O2S2
hit structure
1:578187 C16H26N2O2
hit structure
1:578188 C13H26N2O2
hit structure
1:578189 C14H29N3O4
hit structure
1:578190 C14H29N3O4
hit structure
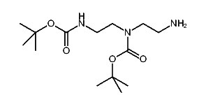
1:578191 C16H33N3O4
hit structure
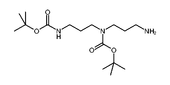
1:578192 C16H33N3O4
hit structure
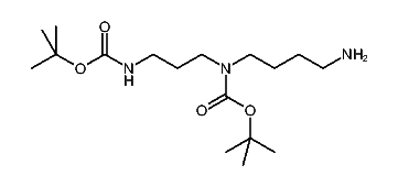
1:578193 C17H35N3O4
hit structure
1:578194 C17H35N3O4
hit structure
1:578195 C10H22N4O3
hit structure

1
  <<    <    >    >>  

entries in data collection: 582790