Home Browse Text SearchFunctional Group SearchStructure SearchPreferences Administration

selected data collection: 1

IRIS SDF: browse content


1
  <<    <    >    >>  

1:577674 C14H18ClNO4
hit structure
1:577675 C14H18FNO4
hit structure
1:577676 C14H17Cl2NO4
hit structure
1:577677 C14H17F2NO4
hit structure
1:577678 C14H18ClNO4
hit structure
1:577679 C14H18INO4
hit structure
1:577680 C14H18BrNO4
hit structure
1:577681 C14H18ClNO4
hit structure
1:577682 C15H21NO4
hit structure
1:577683 C14H20N2O4
hit structure
1:577684 C29H30N2O6
hit structure
1:577685 C22H26N2O6
hit structure
1:577686 C14H18N2O6
hit structure
1:577687 C14H14F5NO4
hit structure
1:577688 C10H15NO4
hit structure
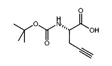
1:577689 C12H23NO5
hit structure
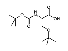
1:577690 C13H25NO5
hit structure
1:577691 C21H23Cl2NO5
hit structure
1:577692 C14H17I2NO5
hit structure
1:577693 C19H27NO7
hit structure
1:577694 C18H27NO5
hit structure
1:577695 C14H18INO5
hit structure
1:577696 C9H17NO4
hit structure
1:577697 C30H31N3O4
hit structure
1:577698 C30H31N3O4
hit structure

1
  <<    <    >    >>  

entries in data collection: 582790