Home Browse Text SearchFunctional Group SearchStructure SearchPreferences Administration

selected data collection: 1

IRIS SDF: browse content


1
  <<    <    >    >>  

1:572295 C14H17Cl2NO4
hit structure
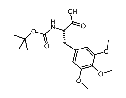
1:572296 C15H21NO5
hit structure
1:572297 C21H25NO5
hit structure
1:572298 C15H21NO5
hit structure
1:572299 C20H23NO5
hit structure
1:572300 C15H18F3NO5
hit structure
1:572301 C15H18F3NO4
hit structure
1:572302 C16H17F6NO4
hit structure
1:572303 C14H17Cl2NO4
hit structure
1:572304 C17H25NO7
hit structure
1:572305 C16H23NO4
hit structure
1:572306 C16H23NO5
hit structure
1:572307 C18H28N2O4
hit structure
1:572308 C15H18F3NO5
hit structure
1:572309 C18H27NO4
hit structure
1:572310 C17H25NO4
hit structure
1:572311 C14H19NO5
hit structure
1:572312 C19H37NO4
hit structure
1:572313 C14H19NO5
hit structure
1:572314 C15H20N2O5
hit structure
1:572315 C16H22N2O5
hit structure
1:572316 C17H21N3O4
hit structure
1:572317 C22H24N2O4
hit structure
1:572318 C16H28N2O5
hit structure
1:572319 C15H26N2O5
hit structure

1
  <<    <    >    >>  

entries in data collection: 577160