Home Browse Text SearchFunctional Group SearchStructure SearchPreferences Administration

selected data collection: 1

IRIS SDF: browse content


1
  <<    <    >    >>  

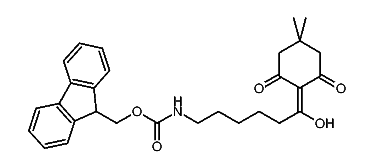
1:570829 C29H33NO5
hit structure
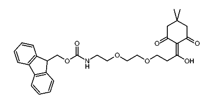
1:570830 C30H35NO7
hit structure
1:570831 C13H19N3O3
hit structure
1:570832 C11H15N5O4
hit structure
1:570833 C15H25N3O4S3
hit structure
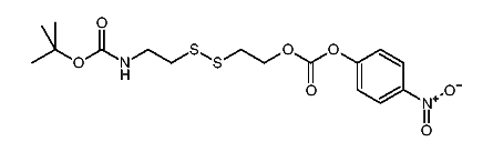
1:570834 C23H26N2O5S2
hit structure
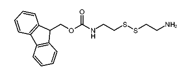
1:570835 C10H18N4O3S2
hit structure
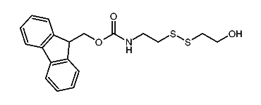
1:570836 C10H15NO3S2
hit structure
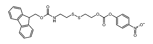
1:570837 C53H59N3O5S
hit structure
1:570838 C53H60N4O4S
hit structure
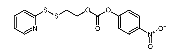
1:570839 C19H22N2O2S2
hit structure
1:570840 C14H26N4O2S3
hit structure
1:570841 C9H12N2O4
hit structure
1:570842 C7H8N2O2
hit structure
1:570843 C17H21N3O8
hit structure
1:570844 C10H12N2O6
hit structure
1:570845 C15H21NO4
hit structure
1:570846 C28H31N3O8
hit structure
1:570847 C12H18N4O4
hit structure
1:570848 C13H19N3O2S
hit structure
1:570849 C14H12N2O5S2
hit structure
1:570850 C9H19NO3S2
hit structure
1:570851 C16H22N2O7S2
hit structure
1:570852 C19H21NO3S2
hit structure
1:570853 C26H24N2O7S2
hit structure

1
  <<    <    >    >>  

entries in data collection: 571530