Home Browse Text SearchFunctional Group SearchStructure SearchPreferences Administration

selected data collection: 1

IRIS SDF: browse content


1
  <<    <    >    >>  

1:567115 C34H42N2O6
hit structure
1:567116 C32H38N2O6
hit structure
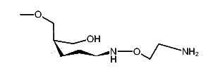
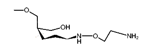
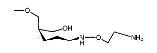
1:567117 C11H28N2O3
hit structure
1:567118 C11H28N2O3
hit structure
1:567119 C11H28N2O3
hit structure
1:567120 C11H28N2O3
hit structure
1:567121 C11H28N2O3
hit structure
1:567122 C11H28N2O3
hit structure
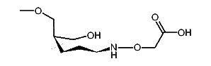
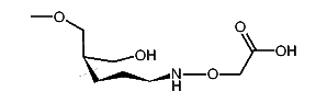
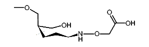
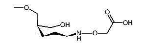
1:567123 C11H25NO5
hit structure
1:567124 C11H25NO5
hit structure
1:567125 C11H25NO5
hit structure
1:567126 C11H25NO5
hit structure
1:567127 C11H25NO5
hit structure
1:567128 C11H25NO5
hit structure
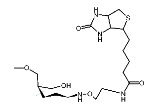
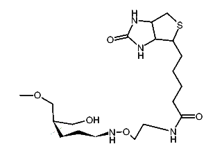
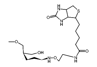
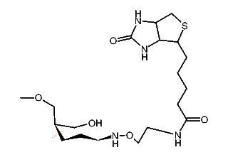
1:567129 C21H42N4O5S
hit structure
1:567130 C21H42N4O5S
hit structure
1:567131 C21H42N4O5S
hit structure
1:567132 C21H42N4O5S
hit structure
1:567133 C21H42N4O5S
hit structure
1:567134 C12H29NO3S
hit structure
1:567135 C25H23N3O2
hit structure
1:567136 C47H51FN7O7P
hit structure
1:567137 C41H49FN5O8P
hit structure
1:567138 C44H53FN7O8P
hit structure
1:567139 C48H54N7O8P
hit structure

1
  <<    <    >    >>  

entries in data collection: 571530