Home Browse Text SearchFunctional Group SearchStructure SearchPreferences Administration

selected data collection: 1

IRIS SDF: browse content


1
  <<    <    >    >>  

1:56709 C12H19N3O4
hit structure
1:56710 C11H21NO4
hit structure
1:56711 C9H17NO5
hit structure
1:56712 C12H24N2O4
hit structure
1:56713 C15H21NO4
hit structure
1:56714 C10H16N4O4
hit structure
1:56715 C10H19NO5
hit structure
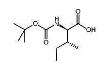
1:56716 C11H19NO4
hit structure
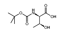
1:56717 C11H19NO4
hit structure
1:56718 C10H16N4O4
hit structure
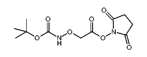
1:56719 C10H17NO4
hit structure
1:56720 C11H16N2O7
hit structure
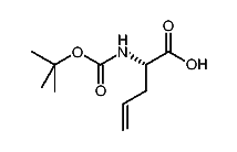
1:56721 C11H19NO4
hit structure
1:56722 C11H19NO4
hit structure
1:56723 C12H21NO4
hit structure
1:56724 C12H21NO4
hit structure
1:56725 C12H21NO4
hit structure
1:56726 C12H21NO4
hit structure
1:56727 C12H21NO4
hit structure
1:56728 C12H21NO4
hit structure
1:56729 C16H29NO5
hit structure
1:56730 C16H21NO4
hit structure
1:56731 C16H21NO4
hit structure
1:56732 C16H27NO4
hit structure
1:56733 C32H42N2O8
hit structure

1
  <<    <    >    >>  

entries in data collection: 116506