Home Browse Text SearchFunctional Group SearchStructure SearchPreferences Administration

selected data collection: 1

IRIS SDF: browse content


1
  <<    <    >    >>  

1:566932 C16H33N3O4
hit structure
1:566933 C17H35N3O4
hit structure
1:566934 C17H35N3O4
hit structure
1:566935 C10H22N4O3
hit structure
1:566936 C24H50N4O4
hit structure
1:566937 C9H20N2O2S2
hit structure
1:566938 C13H28N2O2
hit structure
1:566939 C14H30N2O2
hit structure
1:566940 C15H32N2O2
hit structure
1:566941 C16H34N2O2
hit structure
1:566942 C17H36N2O2
hit structure
1:566943 C14H27N3O4
hit structure
1:566944 C9H19N3O2
hit structure
1:566945 C9H18N2O3
hit structure
1:566946 C23H47N5O6
hit structure
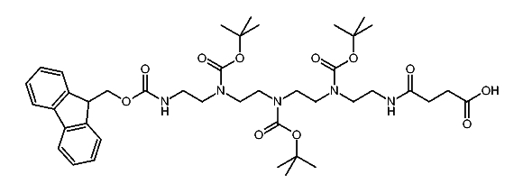
1:566947 C42H61N5O11
hit structure
1:566948 C13H22N2O4S2
hit structure
1:566949 C9H21N3O2
hit structure
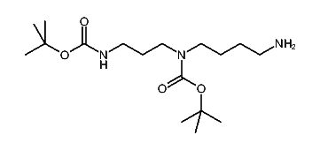
1:566950 C16H33N3O4
hit structure
1:566951 C9H21N3O2
hit structure
1:566952 C14H28N2O4S2
hit structure
1:566953 C6H10N4O3
hit structure
1:566954 C11H20N2O5
hit structure
1:566955 C11H24N2O2
hit structure
1:566956 C12H26N2O2
hit structure

1
  <<    <    >    >>  

entries in data collection: 571530