Home Browse Text SearchFunctional Group SearchStructure SearchPreferences Administration

selected data collection: 1

IRIS SDF: browse content


1
  <<    <    >    >>  

1:566782 C15H21NO4
hit structure
1:566783 C20H22N2O6
hit structure
1:566784 C18H22N2O6
hit structure
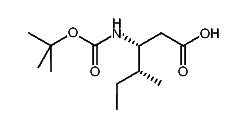
1:566785 C11H19NO4
hit structure
1:566786 C14H20N2O6
hit structure
1:566787 C19H24N2O7
hit structure
1:566788 C20H26N2O7
hit structure
1:566789 C17H22N2O4
hit structure
1:566790 C22H23N3O6
hit structure
1:566791 C20H23N3O6
hit structure
1:566792 C16H22N2O6
hit structure
1:566793 C14H22N2O6
hit structure
1:566794 C15H18N2O4
hit structure
1:566795 C23H35N3O8S
hit structure
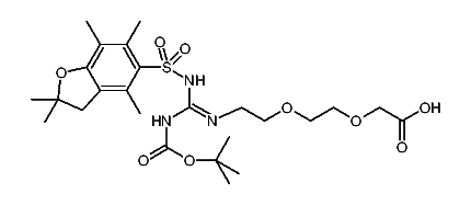
1:566796 C25H39N3O9S
hit structure
1:566797 C9H17NO4
hit structure
1:566798 C15H21NO4
hit structure
1:566799 C11H19NO4
hit structure
1:566800 C9H17NO4
hit structure
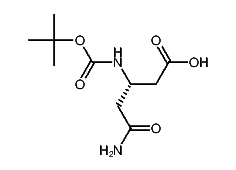
1:566801 C10H18N2O5
hit structure
1:566802 C12H23NO4
hit structure
1:566803 C12H23NO4
hit structure
1:566804 C11H21NO4S
hit structure
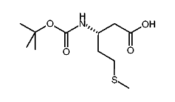
1:566805 C15H21NO4
hit structure
1:566806 C11H19NO4
hit structure

1
  <<    <    >    >>  

entries in data collection: 571530