Home Browse Text SearchFunctional Group SearchStructure SearchPreferences Administration

selected data collection: 1

IRIS SDF: browse content


1
  <<    <    >    >>  

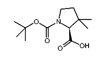
1:566559 C10H19NO5
hit structure
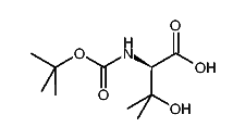
1:566560 C12H21NO4
hit structure
1:566561 C12H21NO4
hit structure
1:566562 C16H23NO4
hit structure
1:566563 C9H14F3NO4
hit structure
1:566564 C9H14F3NO4
hit structure
1:566565 C8H12F2KNO4
hit structure
1:566566 C11H16F3NO4
hit structure
1:566567 C10H16FNO4
hit structure
1:566568 C10H16FNO4
hit structure
1:566569 C10H15F2NO4
hit structure
1:566570 C26H30N2O6
hit structure
1:566571 C24H28N2O6
hit structure
1:566572 C14H17F2NO4
hit structure
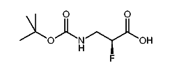
1:566573 C8H14FNO4
hit structure
1:566574 C8H14FNO4
hit structure
1:566575 C28H36F2N2O8
hit structure
1:566576 C20H21F2NO4
hit structure
1:566577 C14H16F9NO5
hit structure
1:566578 C14H16F9NO5
hit structure
1:566579 C10H16F3NO4S
hit structure
1:566580 C10H17N3O4
hit structure
1:566581 C16H28N4O6
hit structure
1:566582 C11H19N3O4
hit structure
1:566583 C10H15N3O4
hit structure

1
  <<    <    >    >>  

entries in data collection: 577160