Home Browse Text SearchFunctional Group SearchStructure SearchPreferences Administration

selected data collection: 1

IRIS SDF: browse content


1
  <<    <    >    >>  

1:566511 C13H24N2O5S2
hit structure
1:566512 C9H15F2NO4
hit structure
1:566513 C14H28N2O4
hit structure
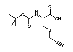
1:566514 C11H17NO4S
hit structure
1:566515 C10H15NO5
hit structure
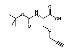
1:566516 C11H17NO5
hit structure
1:566517 C17H21NO5
hit structure
1:566518 C14H19NO4
hit structure
1:566519 C14H19NO4
hit structure
1:566520 C14H19NO4
hit structure
1:566521 C22H34N2O8
hit structure
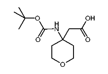
1:566522 C12H21NO4
hit structure
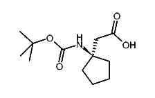
1:566523 C13H23NO4
hit structure
1:566524 C14H25NO4
hit structure
1:566525 C15H27NO4
hit structure
1:566526 C12H21NO5
hit structure
1:566527 C10H17NO4
hit structure
1:566528 C11H19NO4
hit structure
1:566529 C12H21NO4
hit structure
1:566530 C22H38N2O8
hit structure
1:566531 C26H42N2O8
hit structure
1:566532 C26H38N2O8
hit structure
1:566533 C28H50N2O8
hit structure
1:566534 C28H46N2O8
hit structure
1:566535 C24H42N2O8
hit structure

1
  <<    <    >    >>  

entries in data collection: 577160