Home Browse Text SearchFunctional Group SearchStructure SearchPreferences Administration

selected data collection: 1

IRIS SDF: browse content


1
  <<    <    >    >>  

1:562895 C35H44N2O6
hit structure
1:562896 C25H28N2O5
hit structure
1:562897 C28H28N2O8S
hit structure
1:562898 C29H27N5O3S
hit structure
1:562899 C26H19N3O4S2
hit structure
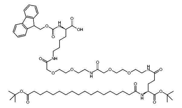
1:562900 C64H101N5O16
hit structure
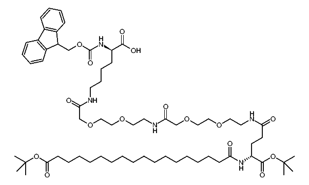
1:562901 C64H101N5O16
hit structure
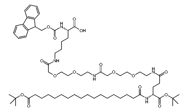
1:562902 C64H101N5O16
hit structure
1:562903 C22H21NO4S
hit structure
1:562904 C25H28N2O6
hit structure
1:562905 C24H24N2O6
hit structure
1:562906 C28H36N2O6
hit structure
1:562907 C39H34N2O5
hit structure
1:562908 C22H23NO4
hit structure
1:562909 C28H34N2O7
hit structure
1:562910 C29H36N2O7
hit structure
1:562911 C30H38N2O7
hit structure
1:562912 C26H30N2O6
hit structure
1:562913 C23H26N4O4
hit structure
1:562914 C31H31N3O10
hit structure
1:562915 C24H23N3O4
hit structure
1:562916 C24H19N5O7
hit structure
1:562917 C27H25N5O7
hit structure
1:562918 C28H25N3O6
hit structure
1:562919 C32H27N3O6
hit structure

1
  <<    <    >    >>  

entries in data collection: 565900