Home Browse Text SearchFunctional Group SearchStructure SearchPreferences Administration

selected data collection: 1

IRIS SDF: browse content


1
  <<    <    >    >>  

1:56284 C23H32ClN3O5
hit structure
1:56285 C27H30N4O6
hit structure
1:56286 C34H33N5O10
hit structure
1:56287 C30H36N6O7
hit structure
1:56288 C37H39N7O11
hit structure
1:56289 C32H39N5O8
hit structure
1:56290 C39H42N6O12
hit structure
1:56291 C13H14O5
hit structure
1:56292 C20H17NO9
hit structure
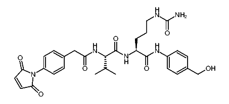
1:56293 C42H54N6O9
hit structure
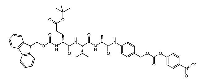
1:56294 C49H57N7O13
hit structure
1:56295 C39H48N4O8
hit structure
1:56296 C46H51N5O12
hit structure
1:56297 C12H14N2O
hit structure
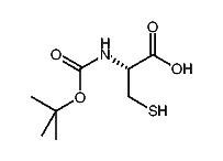
1:56298 C9H18N2O2
hit structure
1:56299 C15H14N2O2
hit structure
1:56300 C11H26N2O4
hit structure
1:56301 C14H24N2O4
hit structure
1:56302 C11H26N2O4
hit structure
1:56303 C8H15NO4S
hit structure
1:56304 C27H29NO4S
hit structure
1:56305 C13H22N2O6
hit structure
1:56306 C24H28N2O6
hit structure
1:56307 C9H18N2O4
hit structure
1:56308 C23H26N2O6
hit structure

1
  <<    <    >    >>  

entries in data collection: 106442