Home Browse Text SearchFunctional Group SearchStructure SearchPreferences Administration

selected data collection: 1

IRIS SDF: browse content


1
  <<    <    >    >>  

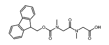
1:562453 C26H34N4O4
hit structure
1:562454 C28H36N2O5
hit structure
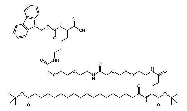
1:562455 C64H101N5O16
hit structure
1:562456 C24H21N3O8S
hit structure
1:562457 C26H34N4O4
hit structure
1:562458 C20H22N4O4
hit structure
1:562459 C20H22N4O4
hit structure
1:562460 C22H20N2O4
hit structure
1:562461 C24H21NO8S
hit structure
1:562462 C21H22N2O5
hit structure
1:562463 C24H27N3O6
hit structure
1:562464 C28H24N2O6
hit structure
1:562465 C28H26N2O6
hit structure
1:562466 C25H22N4O4
hit structure
1:562467 C46H69N3O8
hit structure
1:562468 C46H69N3O8
hit structure
1:562469 C27H34N2O5
hit structure
1:562470 C27H27NO5
hit structure
1:562471 C27H27NO5
hit structure
1:562472 C26H23NO6
hit structure
1:562473 C36H45NO5
hit structure
1:562474 C34H33NO7S2
hit structure
1:562475 C7H15N5O4
hit structure
1:562476 C7H16N4O2
hit structure
1:562477 C16H26N4O5S
hit structure

1
  <<    <    >    >>  

entries in data collection: 565900