Home Browse Text SearchFunctional Group SearchStructure SearchPreferences Administration

selected data collection: 1

IRIS SDF: browse content


1
  <<    <    >    >>  

1:555042 C18H23N3O6S
hit structure
1:555043 C17H19N5O8
hit structure
1:555044 C17H24N2O6
hit structure
1:555045 C12H20N2O6
hit structure
1:555046 C12H20N2O6
hit structure
1:555047 C10H17BrN2O5
hit structure
1:555048 C14H18N4O8
hit structure
1:555049 C16H22N2O6
hit structure
1:555050 C8H16N2O4
hit structure
1:555051 C22H24N2O6
hit structure
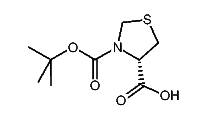
1:555052 C8H15NO4S
hit structure
1:555053 C19H30N2O6
hit structure
1:555054 C12H20N2O6
hit structure
1:555055 C12H20N2O6
hit structure
1:555056 C18H28N2O6
hit structure
1:555057 C14H18N4O8
hit structure
1:555058 C16H22N2O6
hit structure
1:555059 C8H16N2O4
hit structure
1:555060 C23H26N2O6
hit structure
1:555061 C25H30N2O6
hit structure
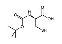
1:555062 C9H15NO4S
hit structure
1:555063 C17H20N2O4
hit structure
1:555064 C19H30N2O6
hit structure
1:555065 C15H20N4O8
hit structure
1:555066 C18H28N2O6
hit structure

1
  <<    <    >    >>  

entries in data collection: 565900