Home Browse Text SearchFunctional Group SearchStructure SearchPreferences Administration

selected data collection: 1

IRIS SDF: browse content


1
  <<    <    >    >>  

1:554323 C96H98N8O15
hit structure
1:554324 C25H50N4O6
hit structure
1:554325 C20H42N4O4
hit structure
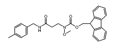
1:554326 C39H56N4O9
hit structure
1:554327 C10H24N6
hit structure
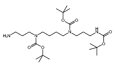
1:554328 C31H58N4O10
hit structure
1:554329 C20H42N4O4
hit structure
1:554330 C10H22N8
hit structure
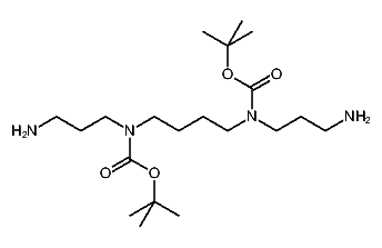
1:554331 C29H54N4O9
hit structure
1:554332 C25H48N6O6
hit structure
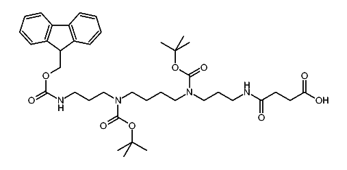
1:554333 C28H50N4O10
hit structure
1:554334 CH2Cl2
hit structure
1:554335 C3H7NO
hit structure
1:554336 C4H10O
hit structure
1:554337 C3H2F6O
hit structure
1:554338 C5H9NO
hit structure
1:554339 C5H11N
hit structure
1:554340 C2HF3O2
hit structure
1:554341 C2H3F3O
hit structure
1:554342 C5H9NO
hit structure
1:554343 C6H14O3S
hit structure
1:554344 C19H17P
hit structure
1:554345 C7H7ClO2S
hit structure
1:554346 C12H14O2
hit structure
1:554347 C27H28N2O4
hit structure

1
  <<    <    >    >>  

entries in data collection: 554640