Home Browse Text SearchFunctional Group SearchStructure SearchPreferences Administration

selected data collection: 1

IRIS SDF: browse content


1
  <<    <    >    >>  

1:553031 C34H38N2O7S
hit structure
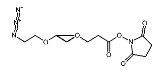
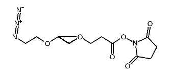
1:553032 C7H15N3O3
hit structure
1:553033 C15H31NO8
hit structure
1:553034 C19H39NO8
hit structure
1:553035 C24H51NO12
hit structure
1:553036 C45H69NO14
hit structure
1:553037 C8H19NO4
hit structure
1:553038 C16H33N3O7
hit structure
1:553039 C16H35NO8
hit structure
1:553040 C27H55NO14
hit structure
1:553041 C31H63NO14
hit structure
1:553042 C51H103NO26
hit structure
1:553043 C55H111NO26
hit structure
1:553044 C11H23NO4
hit structure
1:553045 C11H23NO6
hit structure
1:553046 C15H31NO6
hit structure
1:553047 C19H39NO10
hit structure
1:553048 C23H47NO10
hit structure
1:553049 C24H49N3O12
hit structure
1:553050 C31H56N4O16
hit structure
1:553051 C15H24N4O8
hit structure
1:553052 C23H40N4O12
hit structure
1:553053 C21H39N5O7S
hit structure
1:553054 C14H26O9
hit structure
1:553055 C22H32N2O13
hit structure

1
  <<    <    >    >>  

entries in data collection: 554640