Home Browse Text SearchFunctional Group SearchStructure SearchPreferences Administration

selected data collection: 1

IRIS SDF: browse content


1
  <<    <    >    >>  

1:55298 C18H32O2
hit structure
1:55299 C12H13NO5
hit structure
1:55300 C13H15NO5
hit structure
1:55301 C18H16N2O
hit structure
1:55302 C10H8N4O2
hit structure
1:55303 C7H10N4O2
hit structure
1:55304 C13H17NO7
hit structure
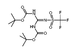
1:55305 C12H20F3N3O6S
hit structure
1:55306 C12H17F6N6O2P
hit structure
1:55307 C18H27ClF6N6OP2
hit structure
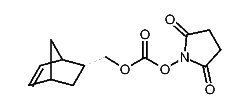
1:55308 C10H19NO4S2
hit structure
1:55309 C20H21NO4S2
hit structure
1:55310 C18H30N10O3
hit structure
1:55311 C19H20N6O5
hit structure
1:55312 C18H18N6O5
hit structure
1:55313 C27H36N6O10
hit structure
1:55314 C35H35NO7S2
hit structure
1:55315 C17H29F6N5O3P2
hit structure
1:55316 C6H7N3O4
hit structure
1:55317 C11H10N4O2
hit structure
1:55318 C20H28N4O7
hit structure
1:55319 C15H13N5O4
hit structure
1:55320 C24H31N5O9
hit structure
1:55321 C24H30N6O7
hit structure
1:55322 C10H11N5
hit structure

1
  <<    <    >    >>  

entries in data collection: 71218