Home Browse Text SearchFunctional Group SearchStructure SearchPreferences Administration

selected data collection: 1

IRIS SDF: browse content


1
  <<    <    >    >>  

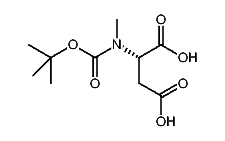
1:549933 C13H24N2O5
hit structure
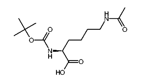
1:549934 C12H21NO4
hit structure
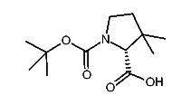
1:549935 C12H23NO4S
hit structure
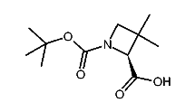
1:549936 C11H19NO4
hit structure
1:549937 C25H30N2O6S
hit structure
1:549938 C20H32N4O6S
hit structure
1:549939 C12H16N2O6
hit structure
1:549940 C13H18N2O6
hit structure
1:549941 C13H24N2O8
hit structure
1:549942 C18H32N2O8Se2
hit structure
1:549943 C27H34N2O6
hit structure
1:549944 C14H16N2O6
hit structure
1:549945 C14H17NO4
hit structure
1:549946 C27H40N4O7S
hit structure
1:549947 C27H43N7O7S
hit structure
1:549948 C10H19NO4
hit structure
1:549949 C9H16N2O5
hit structure
1:549950 C10H17NO6
hit structure
1:549951 C27H22N2O4
hit structure
1:549952 C10H17NO5
hit structure
1:549953 C18H27NO5S
hit structure
1:549954 C11H19N3O6
hit structure
1:549955 C11H16N2O4S
hit structure
1:549956 C11H16N2O4S
hit structure
1:549957 C14H19NO4
hit structure

1
  <<    <    >    >>  

entries in data collection: 577160