Home Browse Text SearchFunctional Group SearchStructure SearchPreferences Administration

selected data collection: 1

IRIS SDF: browse content


1
  <<    <    >    >>  

1:543818 C12H23NO4
hit structure
1:543819 C20H30N2O6
hit structure
1:543820 C17H25NO5
hit structure
1:543821 C11H21NO4
hit structure
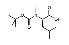
1:543822 C8H15NO4
hit structure
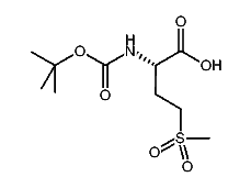
1:543823 C21H36N4O6S
hit structure
1:543824 C14H18INO4
hit structure
1:543825 C17H23NO6
hit structure
1:543826 C14H18INO4
hit structure
1:543827 C11H21NO4
hit structure
1:543828 C15H21NO5
hit structure
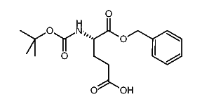
1:543829 C21H34N2O6
hit structure
1:543830 C24H40N2O6
hit structure
1:543831 C15H21NO4
hit structure
1:543832 C19H25N3O5
hit structure
1:543833 C15H21NO4
hit structure
1:543834 C16H23NO5
hit structure
1:543835 C16H23NO5
hit structure
1:543836 C10H19NO5
hit structure
1:543837 C14H25NO6
hit structure
1:543838 C10H17NO6
hit structure
1:543839 C9H17NO4
hit structure
1:543840 C14H19NO5
hit structure
1:543841 C10H19NO6S
hit structure
1:543842 C18H23N3O6S
hit structure

1
  <<    <    >    >>  

entries in data collection: 549010