Home Browse Text SearchFunctional Group SearchStructure SearchPreferences Administration

selected data collection: 1

IRIS SDF: browse content


1
  <<    <    >    >>  

1:543543 C27H30N4O6
hit structure
1:543544 C34H33N5O10
hit structure
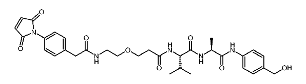
1:543545 C30H36N6O7
hit structure
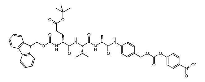
1:543546 C37H39N7O11
hit structure
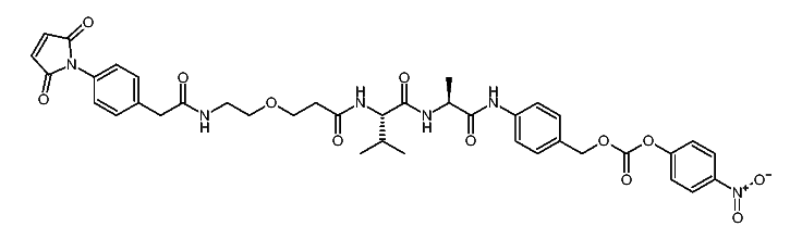
1:543547 C32H39N5O8
hit structure
1:543548 C39H42N6O12
hit structure
1:543549 C13H14O5
hit structure
1:543550 C20H17NO9
hit structure
1:543551 C42H54N6O9
hit structure
1:543552 C49H57N7O13
hit structure
1:543553 C39H48N4O8
hit structure
1:543554 C46H51N5O12
hit structure
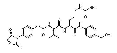
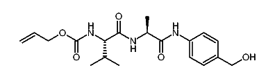
1:543555 C19H27N3O5
hit structure
1:543556 C22H33N5O6
hit structure
1:543557 C12H14N2O
hit structure
1:543558 C9H18N2O2
hit structure
1:543559 C15H14N2O2
hit structure
1:543560 C11H26N2O4
hit structure
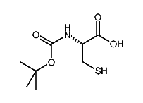
1:543561 C8H15NO4S
hit structure
1:543562 C27H29NO4S
hit structure
1:543563 C13H22N2O6
hit structure
1:543564 C24H28N2O6
hit structure
1:543565 C9H18N2O4
hit structure
1:543566 C23H26N2O6
hit structure
1:543567 C23H26N2O6
hit structure

1
  <<    <    >    >>  

entries in data collection: 549010