Home Browse Text SearchFunctional Group SearchStructure SearchPreferences Administration

selected data collection: 1

IRIS SDF: browse content


1
  <<    <    >    >>  

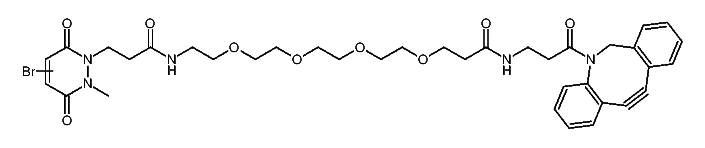
1:542847 C35H39BrN4O9
hit structure
1:542848 C9H13BrN2O4
hit structure
1:542849 C38H48BrN5O9
hit structure
1:542850 C32H36N2O8
hit structure
1:542851 C23H20N2O2
hit structure
1:542852 C30H34N2O6
hit structure
1:542853 C16H15N3O
hit structure
1:542854 C21H25N3O5
hit structure
1:542855 C19H21N5O2S
hit structure
1:542856 C30H42N6O7S
hit structure
1:542857 C7H5N3O3
hit structure
1:542858 C7H8N2O5
hit structure
1:542859 C11H15NO4
hit structure
1:542860 C21H19NO2
hit structure
1:542861 C10H14O3
hit structure
1:542862 C11H15NO3
hit structure
1:542863 C11H14O4
hit structure
1:542864 C35H36N2O7
hit structure
1:542865 C22H22ClNO
hit structure
1:542866 C41H40N4O7
hit structure
1:542867 C3H8O2
hit structure
1:542868 C3H7BrO
hit structure
1:542869 C3H9NO
hit structure
1:542870 C7H13NO4
hit structure
1:542871 C11H16N2O6
hit structure

1
  <<    <    >    >>  

entries in data collection: 543380