Home Browse Text SearchFunctional Group SearchStructure SearchPreferences Administration

selected data collection: 1

IRIS SDF: browse content


1
  <<    <    >    >>  

1:538279 C12H23NO5
hit structure
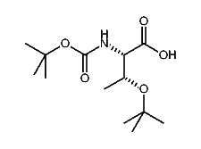
1:538280 C13H25NO5
hit structure
1:538281 C21H23Cl2NO5
hit structure
1:538282 C14H17I2NO5
hit structure
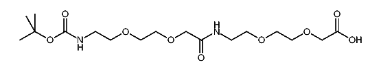
1:538283 C19H27NO7
hit structure
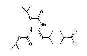
1:538284 C18H27NO5
hit structure
1:538285 C14H18INO5
hit structure
1:538286 C9H17NO4
hit structure
1:538287 C30H31N3O4
hit structure
1:538288 C30H31N3O4
hit structure
1:538289 C11H17NO5
hit structure
1:538290 C10H15NO4
hit structure
1:538291 C15H19NO5
hit structure
1:538292 C14H26N2O6
hit structure
1:538293 C15H19NO5
hit structure
1:538294 C11H21NO6
hit structure
1:538295 C20H23NO4
hit structure
1:538296 C20H23NO4
hit structure
1:538297 C15H21NO5
hit structure
1:538298 C27H52N2O5
hit structure
1:538299 C27H52N2O5
hit structure
1:538300 C17H32N2O9
hit structure
1:538301 C18H31N3O6
hit structure
1:538302 C19H27N3O6
hit structure
1:538303 C11H20N2O6S
hit structure

1
  <<    <    >    >>  

entries in data collection: 554640