Home Browse Text SearchFunctional Group SearchStructure SearchPreferences Administration

selected data collection: 1

IRIS SDF: browse content


1
  <<    <    >    >>  

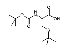
1:538104 C16H23NO5S
hit structure
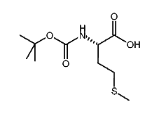
1:538105 C12H23NO4S
hit structure
1:538106 C16H27NO6
hit structure
1:538107 C16H25N3O6
hit structure
1:538108 C11H17N3O4
hit structure
1:538109 C10H17NO5
hit structure
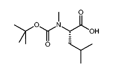
1:538110 C11H21NO4
hit structure
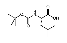
1:538111 C11H21NO4
hit structure
1:538112 C19H27ClN2O6
hit structure
1:538113 C15H26N2O6
hit structure
1:538114 C16H30N2O6
hit structure
1:538115 C19H28N2O6
hit structure
1:538116 C11H22N2O4
hit structure
1:538117 C9H17NO4
hit structure
1:538118 C12H23NO4
hit structure
1:538119 C12H23NO4
hit structure
1:538120 C15H21NO4
hit structure
1:538121 C10H19NO4S
hit structure
1:538122 C22H27NO5
hit structure
1:538123 C11H21NO5
hit structure
1:538124 C11H21NO4
hit structure
1:538125 C14H24N2O6
hit structure
1:538126 C15H28N2O6
hit structure
1:538127 C25H30N2O6
hit structure
1:538128 C18H26N2O6
hit structure

1
  <<    <    >    >>  

entries in data collection: 549010