Home Browse Text SearchFunctional Group SearchStructure SearchPreferences Administration

selected data collection: 1

IRIS SDF: browse content


1
  <<    <    >    >>  

1:53734 C25H28N2O5
hit structure
1:53735 C28H28N2O8S
hit structure
1:53736 C29H27N5O3S
hit structure
1:53737 C26H19N3O4S2
hit structure
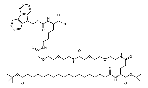
1:53738 C64H101N5O16
hit structure
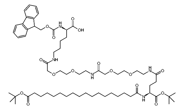
1:53739 C64H101N5O16
hit structure
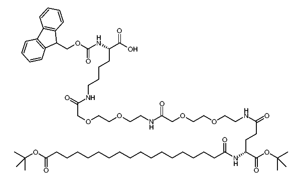
1:53740 C64H101N5O16
hit structure
1:53741 C22H21NO4S
hit structure
1:53742 C25H28N2O6
hit structure
1:53743 C24H24N2O6
hit structure
1:53744 C28H36N2O6
hit structure
1:53745 C39H34N2O5
hit structure
1:53746 C22H23NO4
hit structure
1:53747 C28H34N2O7
hit structure
1:53748 C29H36N2O7
hit structure
1:53749 C30H38N2O7
hit structure
1:53750 C23H28N2O5
hit structure
1:53751 C23H28N2O5
hit structure
1:53752 C20H21NO3
hit structure
1:53753 C6H15NO
hit structure
1:53754 C8H11NO
hit structure
1:53755 C8H11NO
hit structure
1:53756 C5H11NO
hit structure
1:53757 C9H13NO2
hit structure
1:53758 C18H19NO3
hit structure

1
  <<    <    >    >>  

entries in data collection: 71218