Home Browse Text SearchFunctional Group SearchStructure SearchPreferences Administration

selected data collection: 1

IRIS SDF: browse content


1
  <<    <    >    >>  

1:537204 C31H26N2O7S2
hit structure
1:537205 C35H29N3O7S2
hit structure
1:537206 C30H27N3O7S2
hit structure
1:537207 C30H57N3O13
hit structure
1:537208 C50H61N3O13
hit structure
1:537209 C13H26N2O5
hit structure
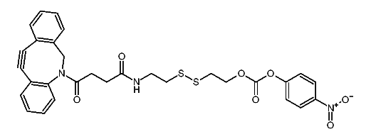
1:537210 C28H31NO5S
hit structure
1:537211 C13H8O3
hit structure
1:537212 C8H5N3S
hit structure
1:537213 C6H3Br2NO4
hit structure
1:537214 C8H8Br2N2O4
hit structure
1:537215 C37H43Br2N5O9
hit structure
1:537216 C6H4BrNO4
hit structure
1:537217 C35H39BrN4O9
hit structure
1:537218 C9H13BrN2O4
hit structure
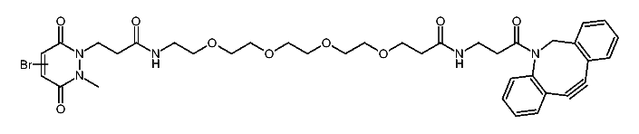
1:537219 C38H48BrN5O9
hit structure
1:537220 C32H36N2O8
hit structure
1:537221 C23H20N2O2
hit structure
1:537222 C30H34N2O6
hit structure
1:537223 C16H15N3O
hit structure
1:537224 C21H25N3O5
hit structure
1:537225 C19H21N5O2S
hit structure
1:537226 C30H42N6O7S
hit structure
1:537227 C7H5N3O3
hit structure
1:537228 C7H8N2O5
hit structure

1
  <<    <    >    >>  

entries in data collection: 537750