Home Browse Text SearchFunctional Group SearchStructure SearchPreferences Administration

selected data collection: 1

IRIS SDF: browse content


1
  <<    <    >    >>  

1:537157 C7H12N4O3
hit structure
1:537158 C8H14N4O3
hit structure
1:537159 C12H22N4O7
hit structure
1:537160 C23H28N4O5
hit structure
1:537161 C23H30N2O5
hit structure
1:537162 C27H34N2O8
hit structure
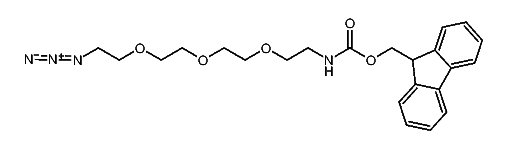
1:537163 C27H34N2O9
hit structure
1:537164 C14H22N4O6
hit structure
1:537165 C12H17NO7
hit structure
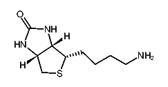
1:537166 C8H15N3O2
hit structure
1:537167 C12H22F6N6OP2
hit structure
1:537168 C12H17NO5Si
hit structure
1:537169 C5H6N2O
hit structure
1:537170 C24H37N5O3S3
hit structure
1:537171 C20H29N5O5S
hit structure
1:537172 C23H33N5O7S
hit structure
1:537173 C22H34N4O5S
hit structure
1:537174 C9H17N3OS
hit structure
1:537175 C20H17Cl
hit structure
1:537176 C6H7ClIN
hit structure
1:537177 C8H9NO2
hit structure
1:537178 C22H20O2S
hit structure
1:537179 C16H15F5N2O3S
hit structure
1:537180 C17H24N6O5
hit structure
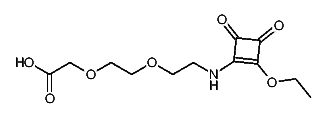
1:537181 C18H23N3O5
hit structure

1
  <<    <    >    >>  

entries in data collection: 537750