Home Browse Text SearchFunctional Group SearchStructure SearchPreferences Administration

selected data collection: 1

IRIS SDF: browse content


1
  <<    <    >    >>  

1:537103 C29H39N9O4S
hit structure
1:537104 C28H39N7O4S
hit structure
1:537105 C22H26F5N3O4S
hit structure
1:537106 C8H10S2
hit structure
1:537107 C15H16N2O3S2
hit structure
1:537108 C10H12O5S
hit structure
1:537109 C26H27F4N4NaO10S
hit structure
1:537110 C7H14N2
hit structure
1:537111 C15H12N5NaO7S
hit structure
1:537112 C20H18N2O3S2
hit structure
1:537113 C18H18N6O2
hit structure
1:537114 C27H36N6O7
hit structure
1:537115 C10H10N2O3
hit structure
1:537116 C19H23N9O2
hit structure
1:537117 C24H33N9O6
hit structure
1:537118 C12H21N5O4
hit structure
1:537119 C20H19N7O4
hit structure
1:537120 C31H40N8O9
hit structure
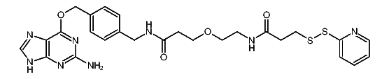
1:537121 C21H21N7O2S2
hit structure
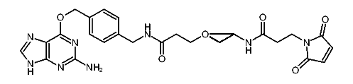
1:537122 C26H30N8O4S2
hit structure
1:537123 C34H31N7O3
hit structure
1:537124 C24H22N2O2
hit structure
1:537125 C23H21F9N4O4S
hit structure
1:537126 C21H16F9NO5S
hit structure
1:537127 C35H41F9N4O6S2
hit structure

1
  <<    <    >    >>  

entries in data collection: 639090