Home Browse Text SearchFunctional Group SearchStructure SearchPreferences Administration

selected data collection: 1

IRIS SDF: browse content


1
  <<    <    >    >>  

1:536623 C40H49F4NO12
hit structure
1:536624 C48H65F4NO16
hit structure
1:536625 C72H113F4NO28
hit structure
1:536626 C96H161F4NO40
hit structure
1:536627 C18H35NO8
hit structure
1:536628 C13H28N2O5
hit structure
1:536629 C15H32N2O6
hit structure
1:536630 C72H132N2O34S2
hit structure
1:536631 C9H20N2O3
hit structure
1:536632 C6H13NO4
hit structure
1:536633 C6H10KN3O4
hit structure
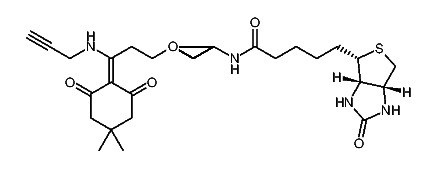
1:536634 C32H53N7O8S
hit structure
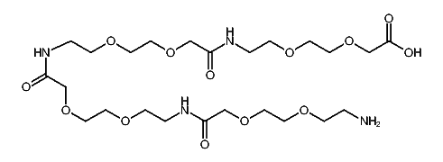
1:536635 C38H57N9O9S
hit structure
1:536636 C32H50N4O8S
hit structure
1:536637 C27H49N7O7S
hit structure
1:536638 C27H42N8O7S
hit structure
1:536639 C24H40N4O7S
hit structure
1:536640 C20H38N4O5S
hit structure
1:536641 C24H46N4O13
hit structure
1:536642 C11H21NO6
hit structure
1:536643 C29H52N8O8S3
hit structure
1:536644 C44H60N6O9S3
hit structure
1:536645 C13H26N4O5
hit structure
1:536646 C14H24O7
hit structure
1:536647 C25H31NO7
hit structure

1
  <<    <    >    >>  

entries in data collection: 537750