Home Browse Text SearchFunctional Group SearchStructure SearchPreferences Administration

selected data collection: 1

IRIS SDF: browse content


1
  <<    <    >    >>  

1:536548 C73H129F4N5O33
hit structure
1:536549 C28H36F4N2O11
hit structure
1:536550 C59H107N7O21
hit structure
1:536551 C17H21F4N3O6
hit structure
1:536552 C33H53F4N3O14
hit structure
1:536553 C47H83N7O21
hit structure
1:536554 C86H159N3O43
hit structure
1:536555 C71H131N7O33
hit structure
1:536556 C28H56O15
hit structure
1:536557 C32H59NO17
hit structure
1:536558 C34H56F4O15
hit structure
1:536559 C150H289N4O61P
hit structure
1:536560 C30H49BrF6N6O15
hit structure
1:536561 C118H233N2O46P
hit structure
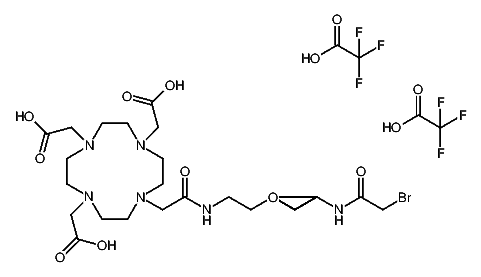
1:536562 C42H79BrN6O19
hit structure
1:536563 C144H285N2O59P
hit structure
1:536564 C109H205F4NO52
hit structure
1:536565 C25H28O3S
hit structure
1:536566 C103H205NO52
hit structure
1:536567 C78H151BrN6O31
hit structure
1:536568 C117H214N2O53
hit structure
1:536569 C110H210N2O53
hit structure
1:536570 C102H204N2O51
hit structure
1:536571 C28H54Br2N2O13
hit structure
1:536572 C193H296N12O60
hit structure

1
  <<    <    >    >>  

entries in data collection: 537750