Home Browse Text SearchFunctional Group SearchStructure SearchPreferences Administration

selected data collection: 1

IRIS SDF: browse content


1
  <<    <    >    >>  

1:536498 C20H30N4O6S
hit structure
1:536499 C20H30N4O6S
hit structure
1:536500 C10H15NO5
hit structure
1:536501 C10H15NO5
hit structure
1:536502 C10H15NO5
hit structure
1:536503 C10H15NO5
hit structure
1:536504 C11H17NO5
hit structure
1:536505 C11H17NO5
hit structure
1:536506 C11H17NO5
hit structure
1:536507 C11H17NO5
hit structure
1:536508 C11H17NO5
hit structure
1:536509 C10H14N4O4
hit structure
1:536510 C10H14N4O4
hit structure
1:536511 C10H14N4O4
hit structure
1:536512 C10H14N4O4
hit structure
1:536513 C32H34N2O5S
hit structure
1:536514 C32H34N2O5S
hit structure
1:536515 C32H34N2O5S
hit structure
1:536516 C32H34N2O5S
hit structure
1:536517 C25H45N3O10S
hit structure
1:536518 C30H36O6S
hit structure
1:536519 C12H25N3O6
hit structure
1:536520 C27H32O4S
hit structure
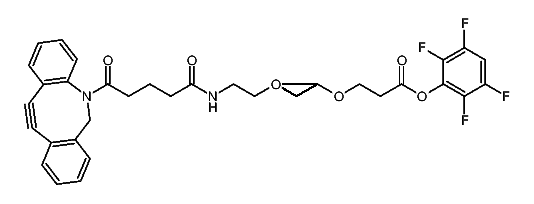
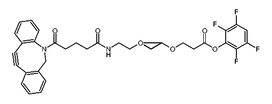
1:536521 C37H38F4N2O8
hit structure
1:536522 C53H70F4N2O16
hit structure

1
  <<    <    >    >>  

entries in data collection: 537750