Home Browse Text SearchFunctional Group SearchStructure SearchPreferences Administration

selected data collection: 1

IRIS SDF: browse content


1
  <<    <    >    >>  

1:536147 C8H19NO4
hit structure
1:536148 C16H33N3O7
hit structure
1:536149 C16H35NO8
hit structure
1:536150 C27H55NO14
hit structure
1:536151 C31H63NO14
hit structure
1:536152 C51H103NO26
hit structure
1:536153 C55H111NO26
hit structure
1:536154 C11H23NO4
hit structure
1:536155 C11H23NO6
hit structure
1:536156 C15H31NO6
hit structure
1:536157 C19H39NO10
hit structure
1:536158 C23H47NO10
hit structure
1:536159 C24H49N3O12
hit structure
1:536160 C31H56N4O16
hit structure
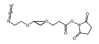
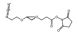
1:536161 C15H24N4O8
hit structure
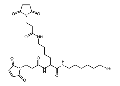
1:536162 C23H40N4O12
hit structure
1:536163 C21H39N5O7S
hit structure
1:536164 C14H26O9
hit structure
1:536165 C22H32N2O13
hit structure
1:536166 C30H48N2O17
hit structure
1:536167 C26H38N6O7
hit structure
1:536168 C24H34N4O9
hit structure
1:536169 C19H29NO8
hit structure
1:536170 C34H70N4O13
hit structure
1:536171 C21H37N3O8S
hit structure

1
  <<    <    >    >>  

entries in data collection: 639090