Home Browse Text SearchFunctional Group SearchStructure SearchPreferences Administration

selected data collection: 1

IRIS SDF: browse content


1
  <<    <    >    >>  

1:532656 C9H17NO4
hit structure
1:532657 C30H31N3O4
hit structure
1:532658 C30H31N3O4
hit structure
1:532659 C11H17NO5
hit structure
1:532660 C10H15NO4
hit structure
1:532661 C15H19NO5
hit structure
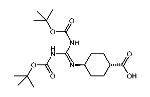
1:532662 C14H26N2O6
hit structure
1:532663 C15H19NO5
hit structure
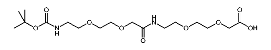
1:532664 C11H21NO6
hit structure
1:532665 C20H23NO4
hit structure
1:532666 C20H23NO4
hit structure
1:532667 C15H21NO5
hit structure
1:532668 C27H52N2O5
hit structure
1:532669 C27H52N2O5
hit structure
1:532670 C17H32N2O9
hit structure
1:532671 C18H31N3O6
hit structure
1:532672 C19H27N3O6
hit structure
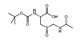
1:532673 C11H20N2O6S
hit structure
1:532674 C16H18F3N3O4
hit structure
1:532675 C25H24N2O5
hit structure
1:532676 C21H22N2O5
hit structure
1:532677 C17H33NO4
hit structure
1:532678 C29H40N4O7S
hit structure
1:532679 C20H23N3O4
hit structure
1:532680 C14H17Cl2NO5
hit structure

1
  <<    <    >    >>  

entries in data collection: 537750