Home Browse Text SearchFunctional Group SearchStructure SearchPreferences Administration

selected data collection: 1

IRIS SDF: browse content


1
  <<    <    >    >>  

1:531477 C15H16N2O3S2
hit structure
1:531478 C10H12O5S
hit structure
1:531479 C26H27F4N4NaO10S
hit structure
1:531480 C7H14N2
hit structure
1:531481 C15H12N5NaO7S
hit structure
1:531482 C20H18N2O3S2
hit structure
1:531483 C18H18N6O2
hit structure
1:531484 C27H36N6O7
hit structure
1:531485 C10H10N2O3
hit structure
1:531486 C19H23N9O2
hit structure
1:531487 C24H33N9O6
hit structure
1:531488 C12H21N5O4
hit structure
1:531489 C20H19N7O4
hit structure
1:531490 C31H40N8O9
hit structure
1:531491 C21H21N7O2S2
hit structure
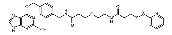
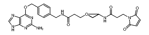
1:531492 C26H30N8O4S2
hit structure
1:531493 C34H31N7O3
hit structure
1:531494 C24H22N2O2
hit structure
1:531495 C23H21F9N4O4S
hit structure
1:531496 C21H16F9NO5S
hit structure
1:531497 C35H41F9N4O6S2
hit structure
1:531498 C16H30N4O4S
hit structure
1:531499 C7H7N3O
hit structure
1:531500 C8H4N2O4S
hit structure
1:531501 C12H16N2O5S2
hit structure

1
  <<    <    >    >>  

entries in data collection: 532120