Home Browse Text SearchFunctional Group SearchStructure SearchPreferences Administration

selected data collection: 1

IRIS SDF: browse content


1
  <<    <    >    >>  

1:531340 C18H30N10O3
hit structure
1:531341 C19H20N6O5
hit structure
1:531342 C18H18N6O5
hit structure
1:531343 C27H36N6O10
hit structure
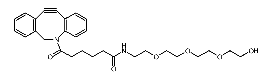
1:531344 C35H35NO7S2
hit structure
1:531345 C17H29F6N5O3P2
hit structure
1:531346 C6H7N3O4
hit structure
1:531347 C11H10N4O2
hit structure
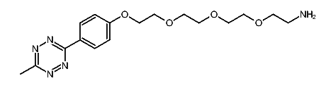
1:531348 C20H28N4O7
hit structure
1:531349 C15H13N5O4
hit structure
1:531350 C24H31N5O9
hit structure
1:531351 C24H30N6O7
hit structure
1:531352 C10H11N5
hit structure
1:531353 C17H25N5O4
hit structure
1:531354 C29H37N3O6
hit structure
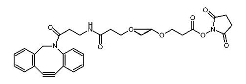
1:531355 C32H42N4O10S
hit structure
1:531356 C21H19NO3
hit structure
1:531357 C25H22N2O5
hit structure
1:531358 C32H40N2O9
hit structure
1:531359 C36H43N3O11
hit structure
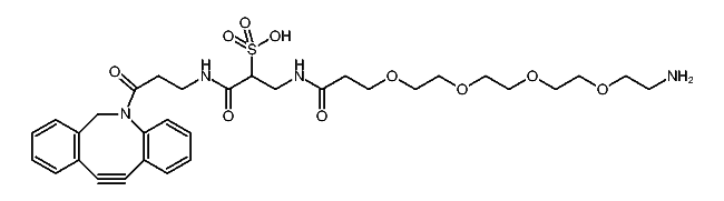
1:531360 C59H69N3O14S3
hit structure
1:531361 C25H21N3O4
hit structure
1:531362 C36H42N4O9
hit structure
1:531363 C29H36N2O6
hit structure
1:531364 C39H51N5O8S
hit structure

1
  <<    <    >    >>  

entries in data collection: 532120