Home Browse Text SearchFunctional Group SearchStructure SearchPreferences Administration

selected data collection: 1

IRIS SDF: browse content


1
  <<    <    >    >>  

1:529112 C37H45N7O7S
hit structure
1:529113 C24H28N2O5
hit structure
1:529114 C22H24N4O4
hit structure
1:529115 C35H44N2O6
hit structure
1:529116 C25H28N2O5
hit structure
1:529117 C28H28N2O8S
hit structure
1:529118 C29H27N5O3S
hit structure
1:529119 C26H19N3O4S2
hit structure
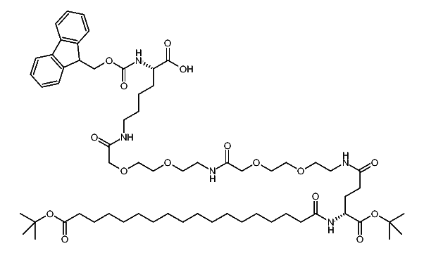
1:529120 C64H101N5O16
hit structure
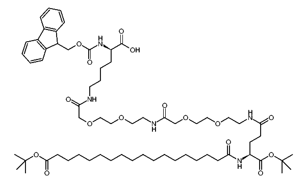
1:529121 C64H101N5O16
hit structure
1:529122 C64H101N5O16
hit structure
1:529123 C22H21NO4S
hit structure
1:529124 C25H28N2O6
hit structure
1:529125 C24H24N2O6
hit structure
1:529126 C28H36N2O6
hit structure
1:529127 C39H34N2O5
hit structure
1:529128 C22H23NO4
hit structure
1:529129 C28H34N2O7
hit structure
1:529130 C29H36N2O7
hit structure
1:529131 C30H38N2O7
hit structure
1:529132 C26H30N2O6
hit structure
1:529133 C23H26N4O4
hit structure
1:529134 C31H31N3O10
hit structure
1:529135 C24H23N3O4
hit structure
1:529136 C24H19N5O7
hit structure

1
  <<    <    >    >>  

entries in data collection: 532120