Home Browse Text SearchFunctional Group SearchStructure SearchPreferences Administration

selected data collection: 1

IRIS SDF: browse content


1
  <<    <    >    >>  

1:525848 C10H12O5S
hit structure
1:525849 C26H27F4N4NaO10S
hit structure
1:525850 C7H14N2
hit structure
1:525851 C15H12N5NaO7S
hit structure
1:525852 C20H18N2O3S2
hit structure
1:525853 C18H18N6O2
hit structure
1:525854 C27H36N6O7
hit structure
1:525855 C10H10N2O3
hit structure
1:525856 C19H23N9O2
hit structure
1:525857 C24H33N9O6
hit structure
1:525858 C12H21N5O4
hit structure
1:525859 C20H19N7O4
hit structure
1:525860 C31H40N8O9
hit structure
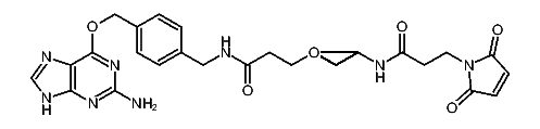
1:525861 C21H21N7O2S2
hit structure
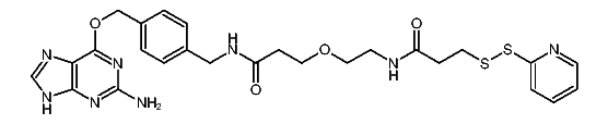
1:525862 C26H30N8O4S2
hit structure
1:525863 C34H31N7O3
hit structure
1:525864 C24H22N2O2
hit structure
1:525865 C23H21F9N4O4S
hit structure
1:525866 C21H16F9NO5S
hit structure
1:525867 C35H41F9N4O6S2
hit structure
1:525868 C16H30N4O4S
hit structure
1:525869 C7H7N3O
hit structure
1:525870 C8H4N2O4S
hit structure
1:525871 C12H16N2O5S2
hit structure
1:525872 C5H9N3O2S2
hit structure

1
  <<    <    >    >>  

entries in data collection: 526490